• Предмет: Математика
  • Автор: qqu0wx
  • Вопрос задан 2 года назад

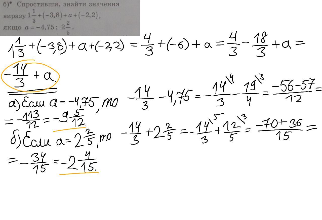
допоможіть будь ласка з математикою 6 клас, спростити і знайти значення виразу

Приложения:

Ответы

Ответ дал: namzhilma2005
1

Ответ:

Пошаговое объяснение:

Приложения:

qqu0wx: дуже дякую,але вже пізно((( я написала якусь фігню, відповіді не сходяться з вашими(((
Вас заинтересует