• Предмет: Математика
  • Автор: laniesley
  • Вопрос задан 2 года назад

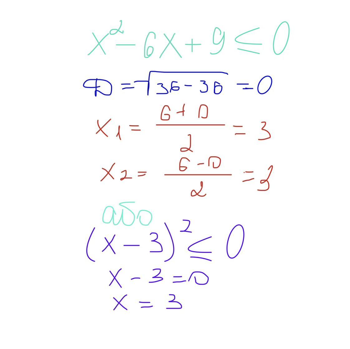
4) x² - 6x +9≤0.область значень ​

Ответы

Ответ дал: vladkaralev
0

Вираз x² - 6x + 9 можна подати у вигляді квадрата двочлена: (x - 3)².

Таким чином, нерівність x² - 6x + 9 ≤ 0 еквівалентна (x - 3)² ≤ 0.

Квадрат будь-якого числа є невід'ємним числом, а квадрат дорівнює нулю тільки у випадку, коли саме число дорівнює нулю.

Отже, єдиний розв'язок нерівності (x - 3)² ≤ 0 - це x = 3.

Таким чином, область значень x, що задовольняють нерівності x² - 6x + 9 ≤ 0, складається з єдиного числа: x = 3.

Математично можна записати це таким чином:

{x | x ∈ R, x = 3}.

Це означає, що множина розв'язків містить тільки число 3 і не містить жодних інших чисел.

Ответ дал: Kormash
0
Все на фото
__________
Приложения:
Вас заинтересует