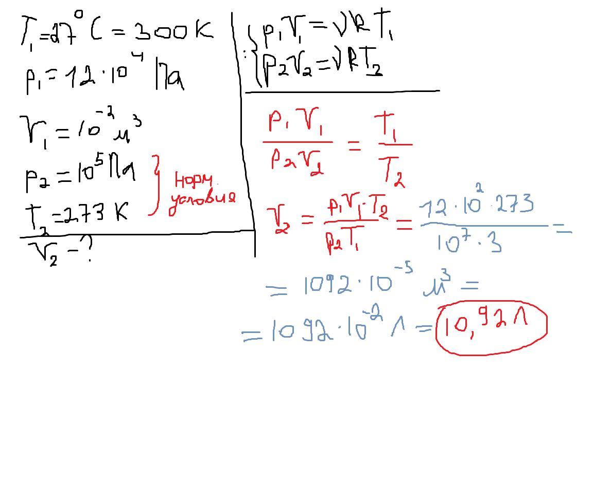
Ідеальний газ при температурі 27°С і тиску 12о кПа займає об’єм 10 л. Визначте
об’єм цього газу за нормальних умов. НАДО РАСПИСАТЬ
Приложения:

Ответы
Ответ дал:
0
Ответ:
Объяснение:
///////////////////////////////////////////
Приложения:

Вас заинтересует
1 год назад
1 год назад
1 год назад
3 года назад
3 года назад
8 лет назад