• Предмет: Алгебра
  • Автор: annafilinuk0
  • Вопрос задан 2 года назад

хто може вирішити їх даю 100 балів

Приложения:

Ответы

Ответ дал: NNNLLL54
1

Ответ:

Применяем формулы разности квадратов , а также квадрата суммы и квадрата разности .

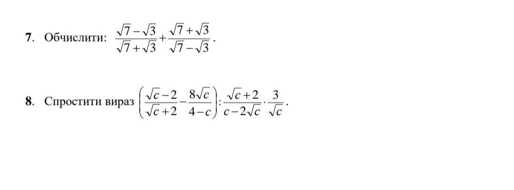
\displaystyle \bf 7)\ \ \ \ \frac{\sqrt7-\sqrt3}{\sqrt7+\sqrt3}+\frac{\sqrt7+\sqrt3}{\sqrt7-\sqrt3}=\frac{(\sqrt7-\sqrt3)^2+(\sqrt7+\sqrt3)^2}{(\sqrt7-\sqrt3)(\sqrt7+\sqrt3)}=\\\\\\=\frac{(7+3-2\sqrt{21})+(7+3+2\sqrt{21})}{7-3}=\frac{20}{4}=5  

\displaystyle \bf 8)\ \ \Big(\frac{\sqrt{c}-2}{\sqrt{c}+2}-\frac{8\sqrt{c}}{4-c}\Big):\frac{\sqrt{c}+2}{c-2\sqrt{c}}\cdot \frac{3}{\sqrt{c}}=\\\\\\=\frac{(\sqrt{c}-2)^2+8\sqrt{c}}{(\sqrt{c}-2)(\sqrt{c}+2)}\cdot \frac{\sqrt{c}\cdot (\sqrt{c}-2)}{\sqrt{c}+2}\cdot \frac{3}{\sqrt{c}}=\\\\\\=\frac{c+4-4\sqrt{c}+8\sqrt{c}}{(\sqrt{c}-2)(\sqrt{c}+2)}\cdot \frac{\sqrt{c}\cdot (\sqrt{c}-2)}{\sqrt{c}+2}\cdot \frac{3}{\sqrt{c}}=  

\displaystyle \bf =\frac{c+4+4\sqrt{c}}{\sqrt{c}+2}\cdot \frac{\sqrt{c}}{\sqrt{c}+2}\cdot \frac{3}{\sqrt{c}}=\frac{3\cdot (\sqrt{c}+2)^2}{(\sqrt{c}+2)^2}=3  

Вас заинтересует