Ответы
Ответ дал:
0
Ответ:
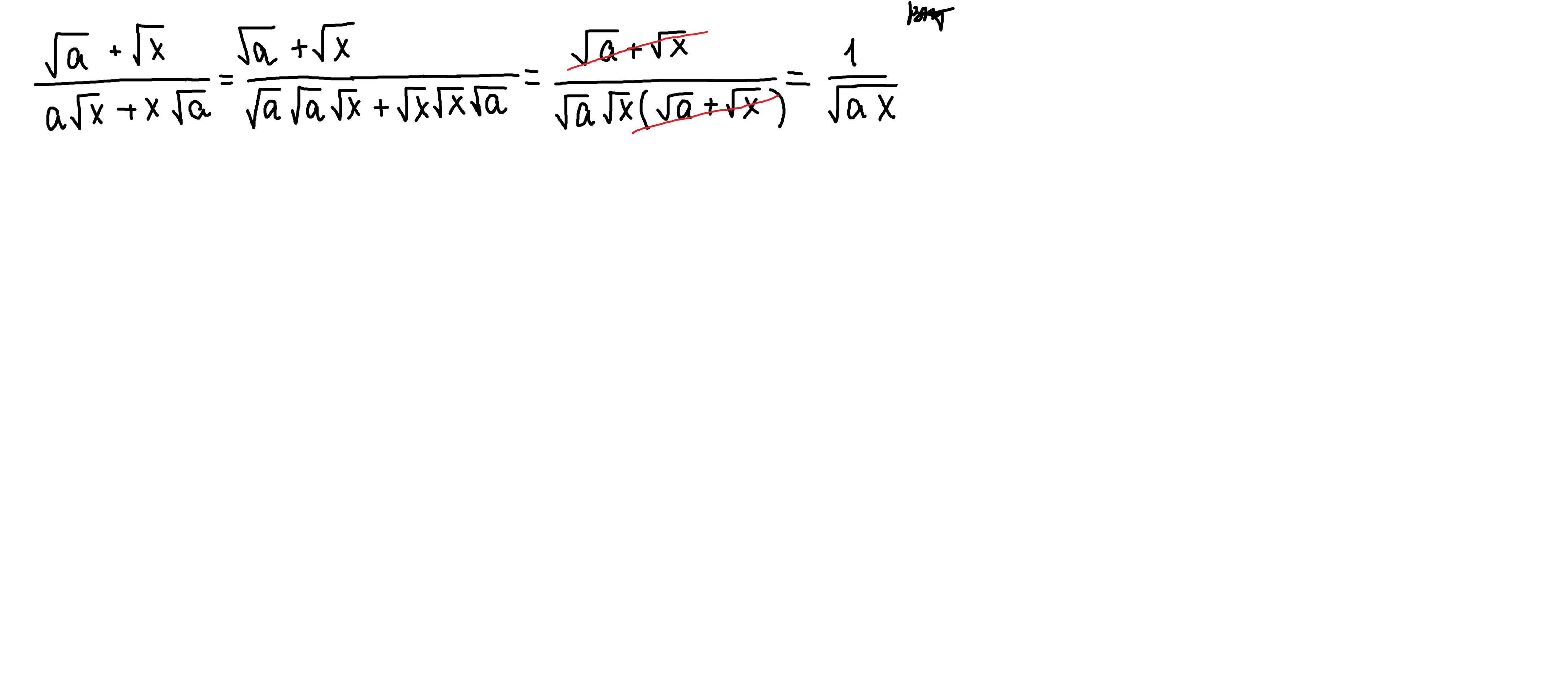
1/√ах
Объяснение: а=√а*√а х=√х*√х
решение внизу
Приложения:

Вас заинтересует
1 год назад
1 год назад
1 год назад
3 года назад
3 года назад
8 лет назад
8 лет назад