• Предмет: Математика
  • Автор: arinatimnaz
  • Вопрос задан 2 года назад

помогите пожалуйста добрые люди даю 20 баллов!​

Приложения:

Ответы

Ответ дал: imko00126
2

Ответ:

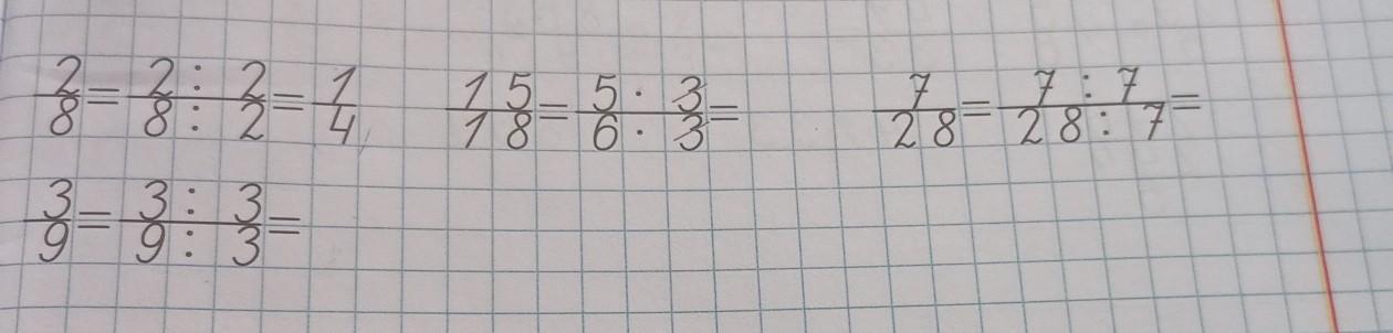
3/9=3/9:3/3 =1/3 15/18=5/6:3/3 =5/6 7/28=7/28:7/7= 1/4


imko00126: арина
imko00126: можешь дать лучший ответ просто мне для отличника чуть осталось
arinatimnaz: у меня пока что нет короны
imko00126: а ты не можешь давать?
arinatimnaz: как появится так и зделаю
imko00126: ок спасибо
arinatimnaz: Всё
arinatimnaz: учший ответ
imko00126: спа
arinatimnaz: пж
Ответ дал: teooic
1

Ответ: 3/9=3/9:3/3 = 1/3 15/18=5/6:3/3 = 5/6

7/28=7/28:7/7 = 1/4

Вас заинтересует