• Предмет: Алгебра
  • Автор: asainovasalima088
  • Вопрос задан 2 года назад

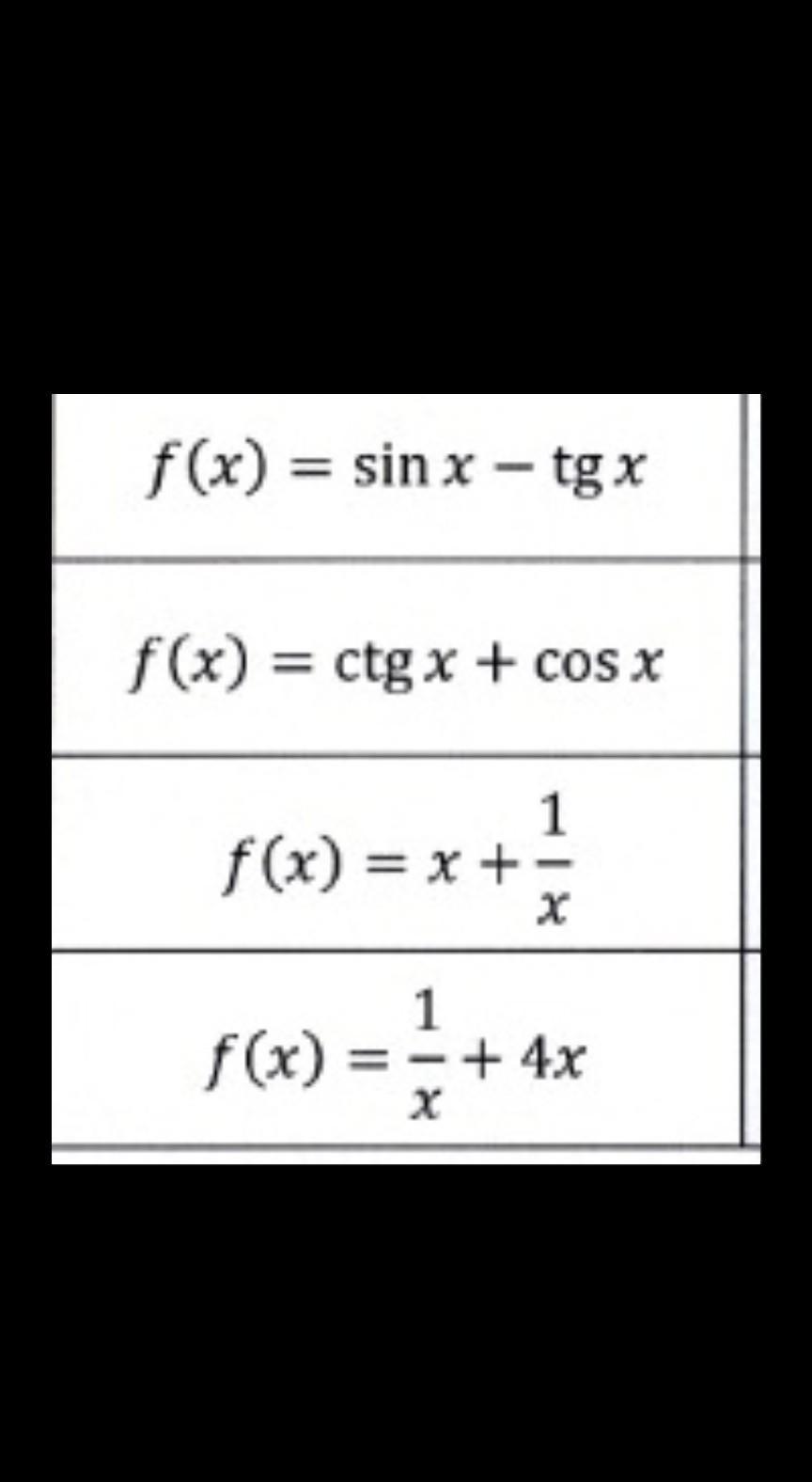
найти произвольную 30 баллов ​

Приложения:

Ответы

Ответ дал: NNNLLL54
1

Ответ:

Пользуемся таблицей производных .

\bf f(x)=sinx-tgx\ \ ,\ \ \ f'(x)=cosx-\dfrac{1}{cos^2x}\\\\\\f(x)=ctgx+cosx\ \ ,\ \ \ f'(x)=-\dfrac{1}{sin^2x}-sinx\\\\\\f(x)=x+\dfrac{1}{x}\ \ ,\ \ \ f'(x)=1-\dfrac{1}{x^2} \\\\\\f(x)=\frac{x}{y}+4x\ \ ,\ \ \ f'(x)=-\dfrac{1}{x^2}+4      

Приложения:
Вас заинтересует