• Предмет: Алгебра
  • Автор: meltaskiran
  • Вопрос задан 2 года назад

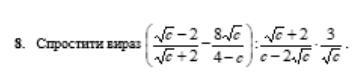
помогите решить задание которое на фотографии

Приложения:

Ответы

Ответ дал: NNNLLL54
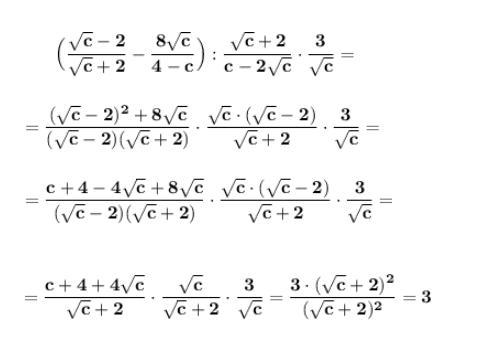
1

Ответ:  3 .....................................................................................................

Приложения:

meltaskiran: спасибоооо
veronikamila65: прощу вас помогите
Мозгокошка: Доброго Вам времени суток!Можете пожалуйста мне помочь?Если,конечно, у Вас есть время/силы/желание,то помогите мне пожалуйста с заданиями в профиле.Была бы очень-очень Вам благодарна за помощь.В любом случае спасибо и хорошего Вам дня
veronikamila65: помогите пожалуйста)
veronikamila65: мне решили но я их решения не понимаю ( 2 3 вопроса) посмотрете пожалуйста, надеюсь вы поможете
Вас заинтересует