• Предмет: Математика
  • Автор: brawlpass20120
  • Вопрос задан 2 года назад

Помогите плис оченя надо и побистрей

Приложения:

Ответы

Ответ дал: Mnick
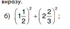
2

(1 \frac{1}{2} ) {}^{2}  + (2 \frac{2}{3} ) {}^{2}  =  (\frac{3}{2} ) {}^{2}  + ( \frac{8}{3} ) {}^{2}  =  \frac{9}{4}  +  \frac{64}{9}  =  \frac{337}{36}  = 9 \frac{13}{36}

Вас заинтересует