• Предмет: Математика
  • Автор: brawlpass20120
  • Вопрос задан 2 года назад

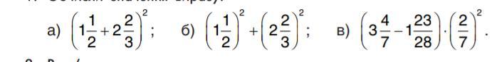
Ток а и в помогите плис

Приложения:

nastjarzd: А)3 3/5². Б) 33/5². В)11 6/9

Ответы

Ответ дал: m80619360
0

а)1 1/2-2/3=3/2-2/3=9/6-4/6=5/6

в)11/8-1/4-9/8-1/4-9/8-2/8=7/8


nastjarzd: А)3 3/5². Б) 33/5². В)11 6/9
Вас заинтересует