• Предмет: Алгебра
  • Автор: prodimon213
  • Вопрос задан 2 года назад

розвязати рівняння х+22-9х2=0

Ответы

Ответ дал: dudkovaleriia
1

Ответ:

Объяснение: якщо після 9 знак помножити(незрозуміло написано умову), то:

х+22-18=0

х+4=0

х=-4

якщо після 9 х, то:

х+22-18х=0

-17х=-22

х= 22/17


Kormash: Не вірно!
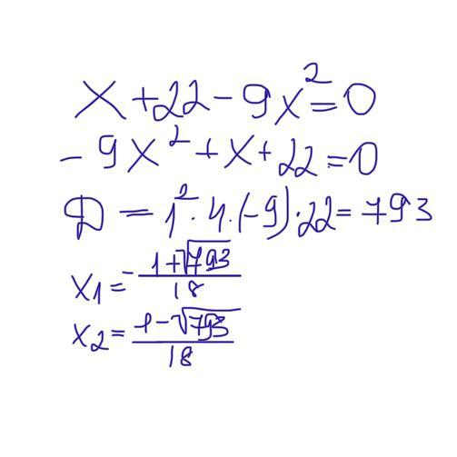
Ответ дал: Kormash
0
Все на фото
_______________
Приложения:
Вас заинтересует