• Предмет: Алгебра
  • Автор: kraNE7888
  • Вопрос задан 2 года назад

Даю 100 баллов:
Докажите тождество.
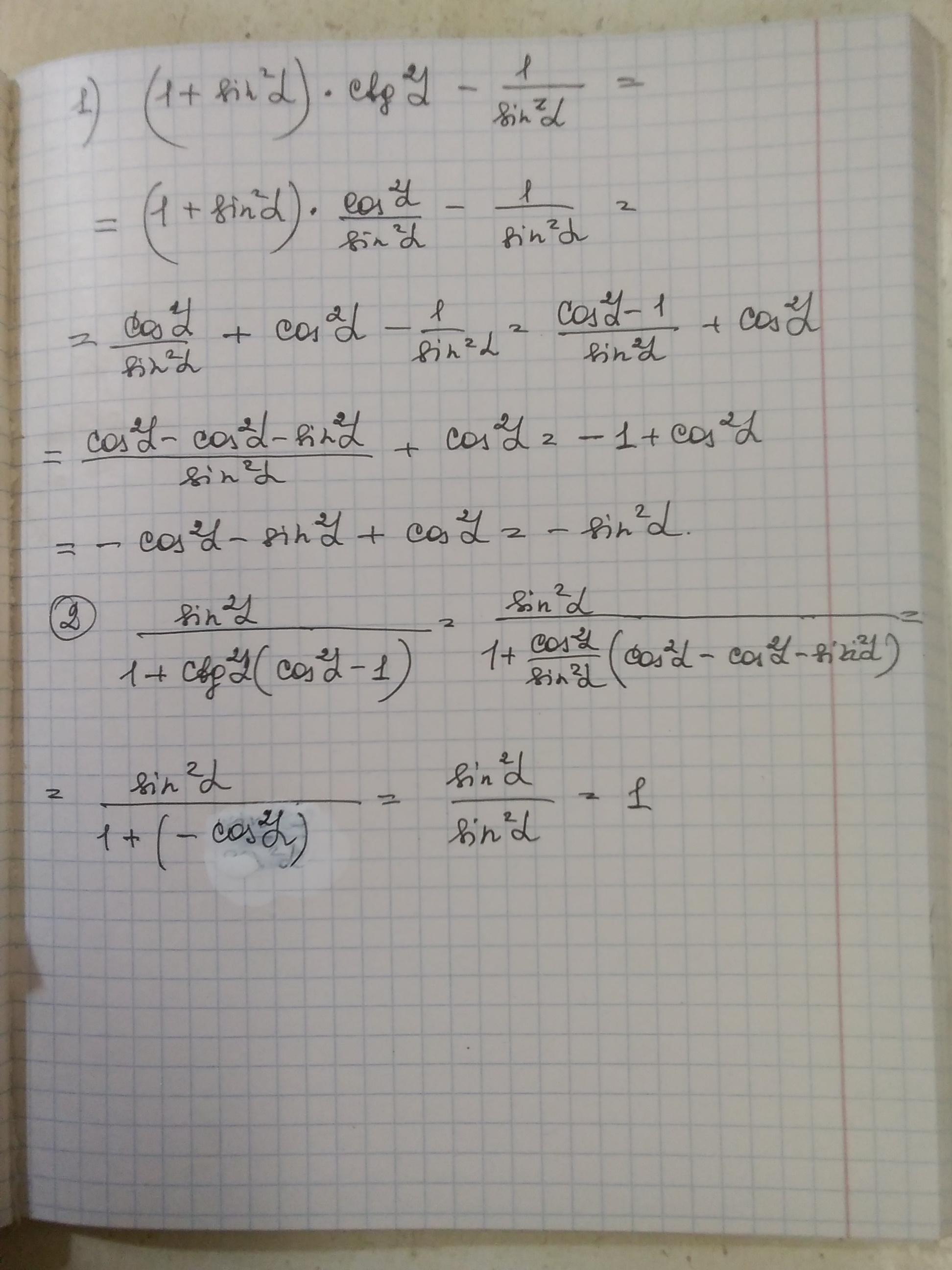
а) (1 + sin^2 a)ctg^2 a - ((1) / sin^2 a) = - sin^2 a
б) ((sin^2 a) / (1 + ctg^2 a * (cos^2 a - 1))) = 1

Приложения:

Ответы

Ответ дал: MizoriesKun
1

Смотри..................

Приложения:

kraNE7888: Спасибо вам
Вас заинтересует