• Предмет: Алгебра
  • Автор: elena0955174030
  • Вопрос задан 2 года назад

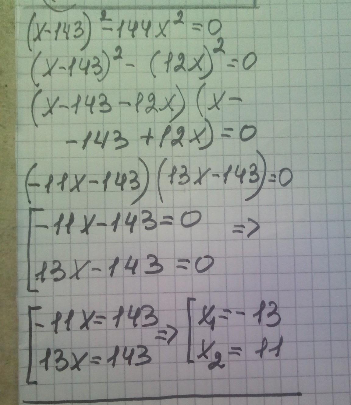
(х-143)²-144х²=0 помогите пожалуйста решить. спасибо

Ответы

Ответ дал: trohakata5
1

відповідь:

х=11.

х=-13.

Приложения:
Ответ дал: manyny06
1

Ответ:

решение смотри на фотографии

Приложения:
Вас заинтересует