• Предмет: Математика
  • Автор: lioxa2005
  • Вопрос задан 2 года назад

решите пожалуйста задание по математике , даю 20 баллов​

Приложения:

Ответы

Ответ дал: сок111213
0

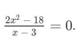
x\neq3 \\  \frac{2 {x}^{2}  - 18}{x - 3}  = 0 \\ 2 {x}^{2}  - 18 = 0  \\ {x}^{2}  - 9 = 0 \\ (x - 3)(x + 3) = 0 \\ x_{1} =   - 3\\ x_{2} = 3

Второй корень не подходит

Ответ: х = - 3

Вас заинтересует