• Предмет: Математика
  • Автор: pidbul209
  • Вопрос задан 2 года назад

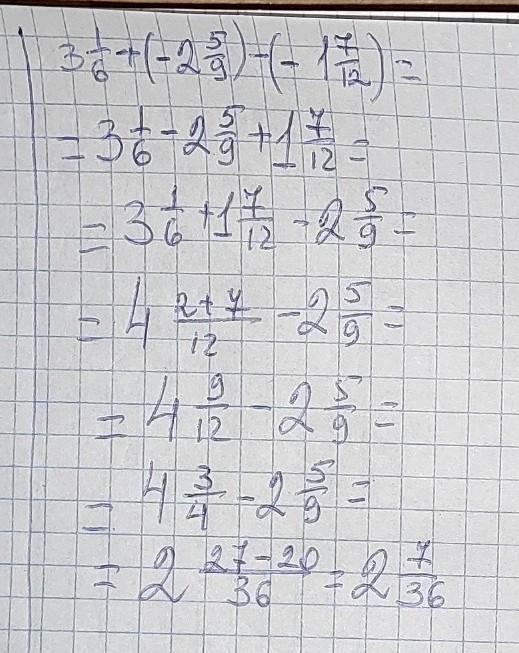
3 1/6 +(-2 5/9)-(-1 7/12) пж срочно даю 19 балов​

Ответы

Ответ дал: tetamotatetyamotya
0

Ответ:

вот решение

Пошаговое объяснение:

решение ниже

Приложения:
Вас заинтересует