• Предмет: Математика
  • Автор: kirillantipenko504
  • Вопрос задан 2 года назад

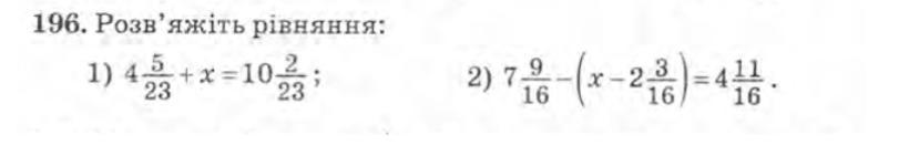
помогите сделать задания которые на фотографиях

Приложения:

Ответы

Ответ дал: dzinex
0

Ответ:

196.1)5 20/23 2)5 1/16

Пошаговое объяснение:

1)x=10 2/23 -4 5/23=9 25/23-4 5/23

x=5 20/23

2)x-2 3/16=7 9/16 -4 11/16=6 25/16-4 11/16=2 14/16

x=2 14/16+ 2 3/16

x=4 17/16=5 1/16

Вас заинтересует