• Предмет: Информатика
  • Автор: akemeevalim
  • Вопрос задан 2 года назад

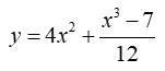
Запиши формулу по правилам языка Python: (не используй пробелы)

Приложения:

Ответы

Ответ дал: AnonimUser1
1

Ответ:y=4*(x**2)+(x**3-7)/12

Объяснение:

Вас заинтересует