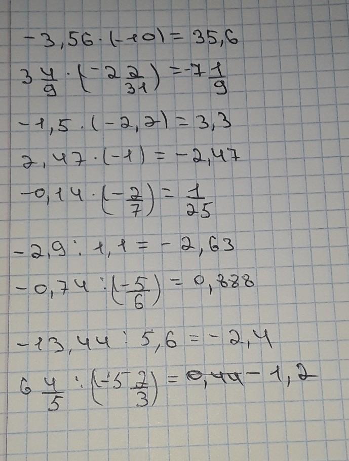
А)-3,56*(-10)=
б) 3 4/9*(-2 2/31)=
в)-1,5*(-2,2)=
г)2,47*(-1)=
д)-0,14*(-2/7)=
е)-2,9:1,1=
ж)-0,74:(-5/6)=
з)-13,44:5,6=
і)6 4/5:(-5 2/3)=
Срочно!
Ответы
Ответ дал:
4
Вот ...........................
Приложения:

anastya260654:
Спасибі)
Вас заинтересует
1 год назад
1 год назад
1 год назад
1 год назад
8 лет назад