По цій темі я багато чого не зрозуміла, допоможіть будь ласка, буду дуже вдячна,
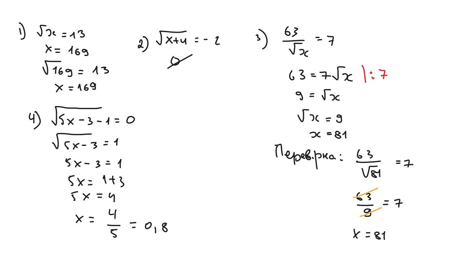
Розв'язати рiвняння:
Приложения:

Ответы
Ответ дал:
1
Ответ:
дай лучший ответ пж (коронку)
Объяснение:
Приложения:

gruzickayana2022:
можешь дать ответы на другие вопросы у меня в профиле
Вас заинтересует
1 год назад
1 год назад
1 год назад
3 года назад
3 года назад
8 лет назад
8 лет назад