• Предмет: Математика
  • Автор: mrdiman1
  • Вопрос задан 2 года назад

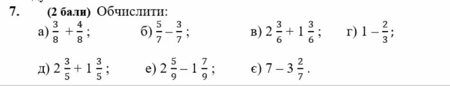
помогите пожалуйста!

Приложения:

Ответы

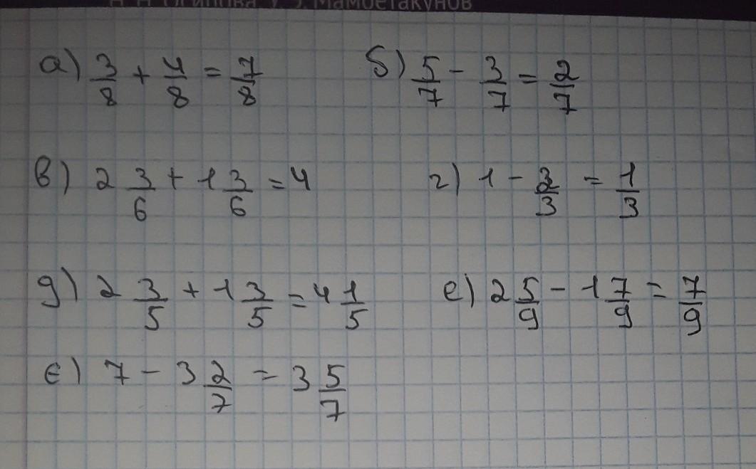
Ответ дал: karina200953
1

Ответ:

Вот..................

Приложения:
Ответ дал: weappolirana
1
Вот готово норм зашлось
Приложения:
Вас заинтересует