Помогите пожалуйста, от чистого сердца прошу
Приложения:

Аноним:
напиши свой инст,там решу,данное сообщение не имеет никакой личной информации
Ответы
Ответ дал:
1
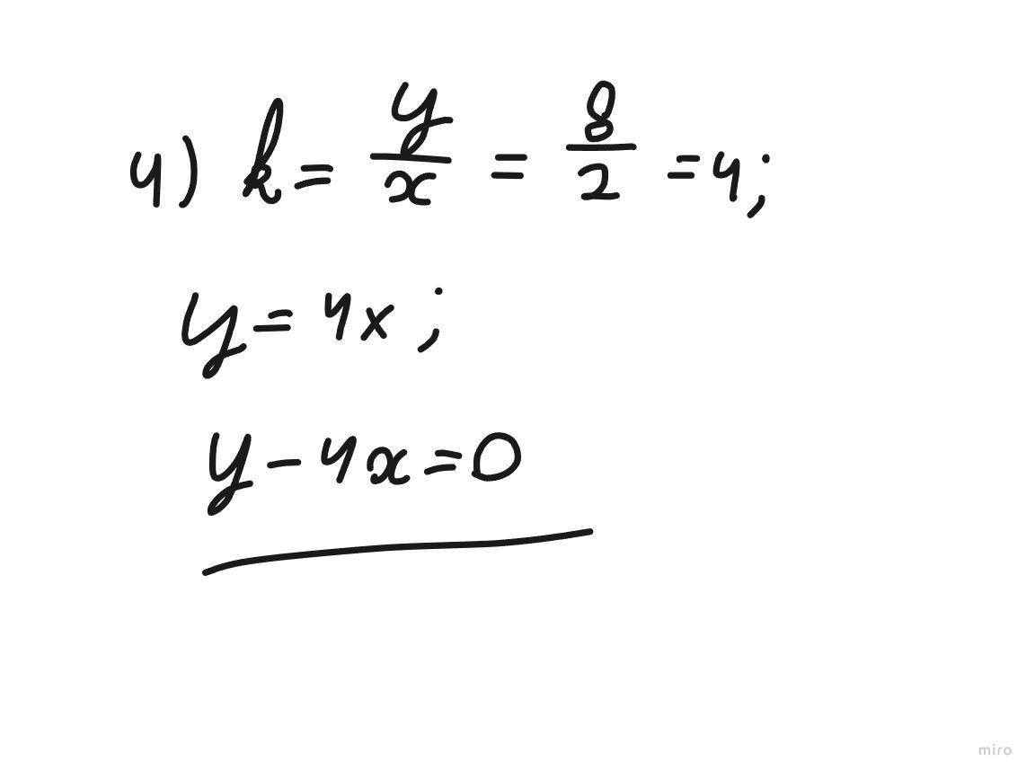
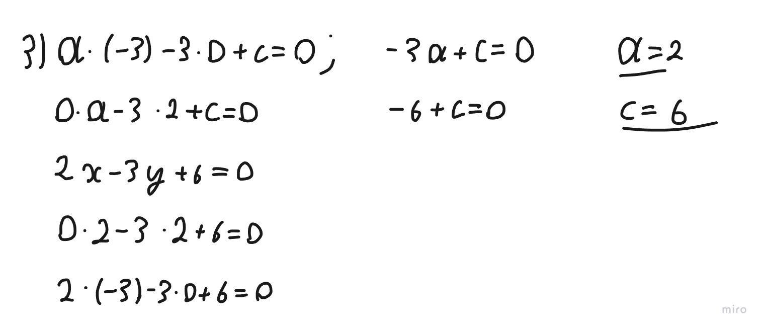
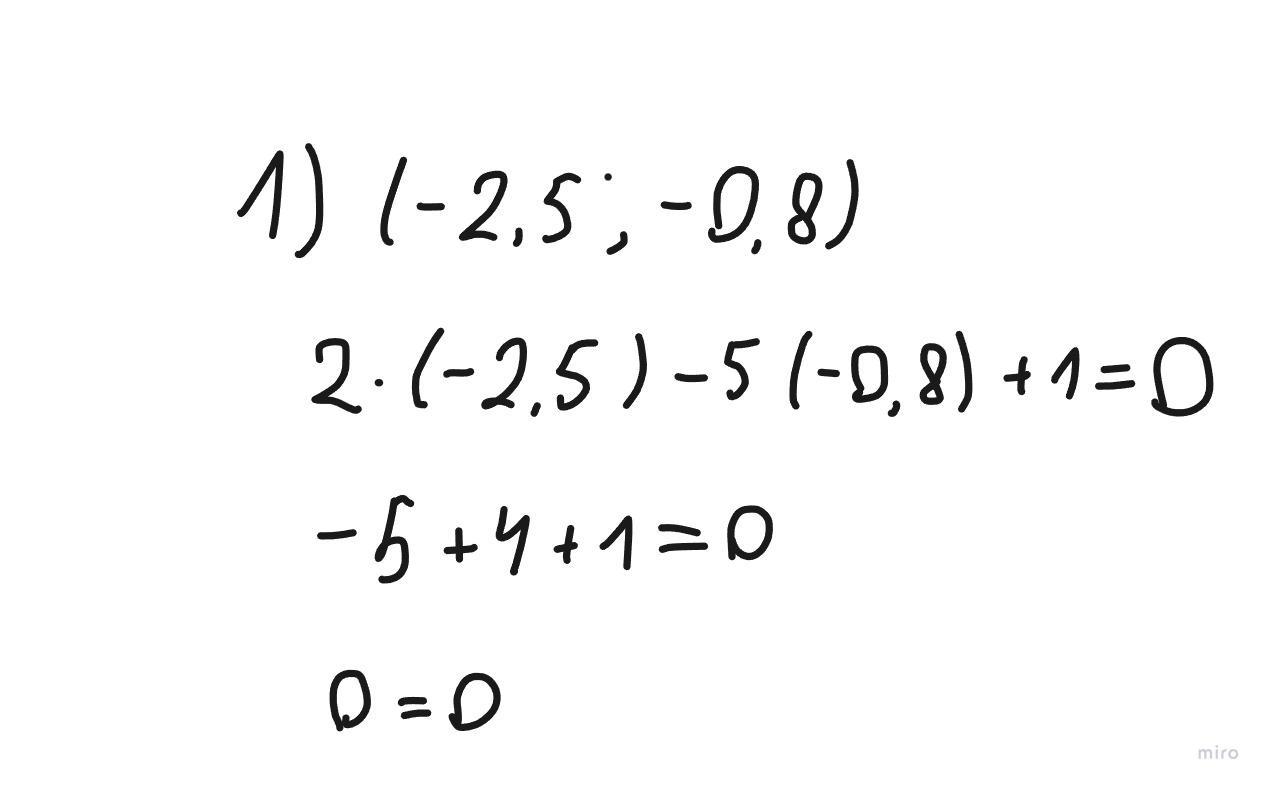
Відповідь:
Пояснення:
Приложения:




Вас заинтересует
1 год назад
1 год назад
1 год назад
1 год назад
3 года назад
3 года назад
8 лет назад