Ответы
                                            Ответ дал: 
                                                                                    
                                        
                                            
                                                
                                                
                                                
                                                    0
                                                
                                            
                                        
                                    
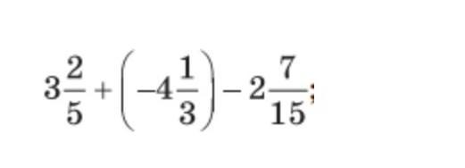
вот ответ на фото
Пошаговое объяснение:
ответ на фото,
Приложения:
                     
                            Вас заинтересует
                
                        1 год назад
                    
                
                        1 год назад
                    
                
                        1 год назад
                    
                
                        1 год назад
                    
                
                        3 года назад
                    
                