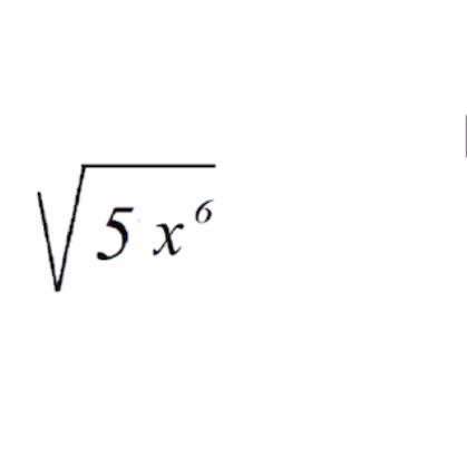
Винесіть множник з- під
знака кореня за умови,
що x < 0. кроки вирішення потрібні !!!!
Приложения:

Ответы
Ответ дал:
2
Ответ:
решение смотри на фотографии
Приложения:

sofiazabigajlo:
правильно
Вас заинтересует
1 год назад
1 год назад
1 год назад
1 год назад
3 года назад
3 года назад
8 лет назад
8 лет назад