• Предмет: Алгебра
  • Автор: rx250169
  • Вопрос задан 2 года назад

Допоможіть виконати завдання на слайді

Приложения:

Ответы

Ответ дал: halifalatif566
1

Ответ:

Объяснение:

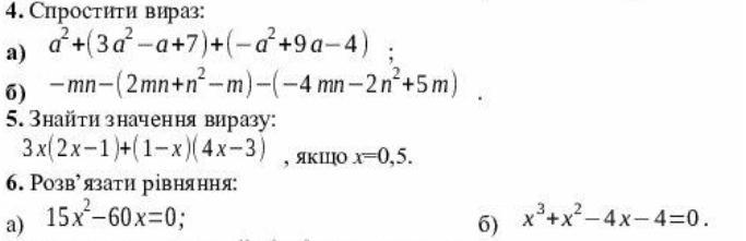
4. завдання:

a) a²+(3a²-a+7)+(-a²+9a-4)

= a² + 3a² - a² + 9a - a + 7 - 4

= 2a² + 7a + 3

б) -mn-(2mn+n²-m)-(-4 mn-2n²+5m)

= -mn - 2mn - n² + m + 4 mn + 2n² - 5m

= 2mn - n² - 4m + 2n²

= 2mn + n² - 4m

5. завдання:

3x(2x-1)+(1-x)(4x-3), якщо x=0,5.

Підставляємо значення x=0,5

30.5(20.5-1) + (1-0.5)(4*0.5-3)

= 1.5(1) + 0.5(1)

= 2

 6. Розв'язати рівняння:  

x3+x²-4x-4=0

х^3+х^2-4х=0

(х^3+х^2)-(4х+4)=0

х^2(х+1)-4(х+1)=0

(х^2-4)(х+1)=0

1)випадок:

х^2-4=0

х^2=4

відповідь: х=-2;х=2.

2 випадок:

х+1=0

х=-1

Остаточна Відповідь : х=-2;х=-1;х=2


rx250169: є помилки а шосте узагалі не виконано
Вас заинтересует