• Предмет: Математика
  • Автор: gribadelina11
  • Вопрос задан 2 года назад

РЕШИТЕ ПОЖАЛУЙСТА СРОЧНО СРОЧНО СРОЧНО ДАЮ МНОГО БАЛЛОВ​

Приложения:

Ответы

Ответ дал: urduhanovaamina1
0

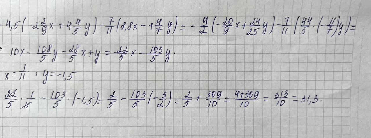
Ответ:

Пошаговое объяснение:

Приложения:
Вас заинтересует