Помогите пожалуйста Спростіть вираз:
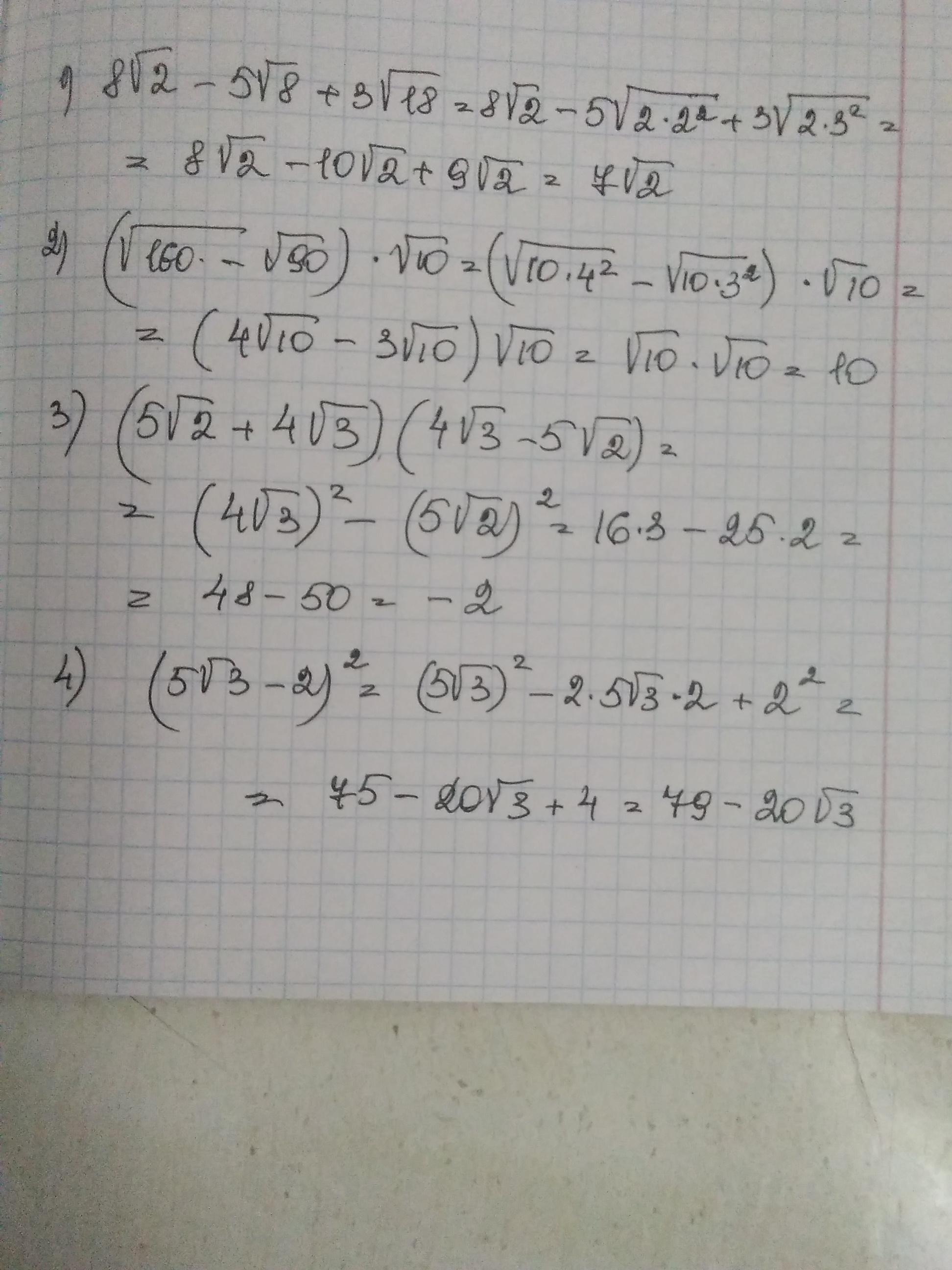
) 8sqrt(2) - 5sqrt(8) + 3sqrt(18)
2) (sqrt(160) - sqrt(90)) * sqrt(10)
3) (5sqrt(2) + 4sqrt(3))(4sqrt(3) - 5sqrt(2)) ;
4 (5sqrt(3) - 2) ^ 2
Приложения:

Ответы
Ответ дал:
1
Смотри..................
Приложения:

Вас заинтересует
1 год назад
1 год назад
3 года назад
3 года назад
8 лет назад