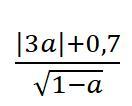
Як записати формулу для обчислення математичного виразу?
а) =(ABS(3*a)+0,7)/(SQRT(1-a))
б) (ABS(3*a)+0,7)/(SQRT(1-a))
в) =(ABS(3*a)+0,7)/(SQRT(1-a)
г) =(ABS3a+0,7)/(SQRT(1-a))
Приложения:

Ответы
Ответ дал:
1
Найбільш правильним і стандартним способом запису математичного виразу буде варіант "б", оскільки він містить лише математичні функції та знаки операцій, і не містить зайвих символів або помилок форматування.
Alphaeus:
Якщо мова йде про Excel, то правильна відповідь а)
Вас заинтересует
1 год назад
1 год назад
1 год назад
1 год назад