• Предмет: Алгебра
  • Автор: alexlitvinov22042010
  • Вопрос задан 2 года назад

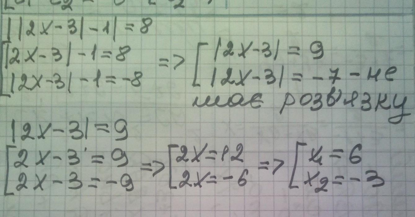
||2x-3|-1|=8 Пожалуйста!


alexlitvinov22042010: просто ответ без решения
alexlitvinov22042010: !!!
alexlitvinov22042010: Спосибо!

Ответы

Ответ дал: manyny06
1

Ответ:

решение смотри на фотографии

Приложения:

alexlitvinov22042010: :)
Вас заинтересует