• Предмет: Математика
  • Автор: Аноним
  • Вопрос задан 2 года назад

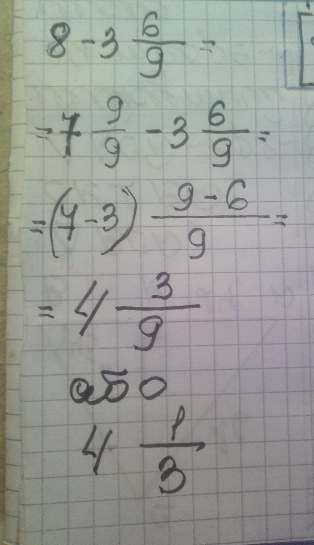
Рішіть завдання 8 - 3 6/9

Ответы

Ответ дал: manyny06
2

Ответ:

решение смотри на фотографии

Приложения:
Ответ дал: alexander1803
4

Ответ:

8 - 3 6/9 = 8 - (3 + 6/9) (розкладаємо 3 6/9 на суму 3 та 6/9, щоб можна було відняти)

= 8 - (3 + 2/3) (скорочуємо 6/9 до 2/3)

= 8 - 3 2/3 (складаємо 3 та 2/3)

= 4 1/3 (відповідь)

Дай коронку(лучший ответ), пожалуйста❤️❤️❤️


Аноним: Дала карону ❤️
Вас заинтересует