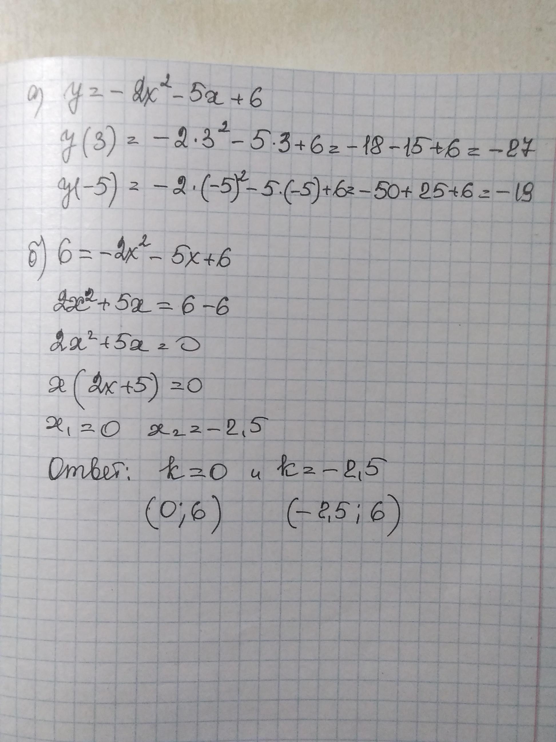
Дана функция y = -2x^2 - 5х +6 a) Найдите значения функции f (3) f (-5) Известно, что график функции проходит через точку (k; 6). b) Найдите значение k.
Ответы
Ответ дал:
1
Смотри..................
Приложения:

Мозгокошка:
Доброго времени суток!Можете пожалуйста помочь с алгеброй.Задания в моем профиле.Если у Вас есть время/возможность/желание/силы,то пожалуйста помогите или хотя бы посмотрите задания.Буду благодарна Вашей помощи.В любом случае спасибо за Ваше внимание и хорошего дня
Вас заинтересует
1 год назад
1 год назад
1 год назад
3 года назад
3 года назад
8 лет назад