• Предмет: Алгебра
  • Автор: zenakukik527
  • Вопрос задан 2 года назад

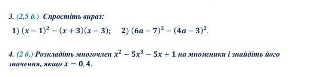
3. (2,5 б.) Спросмiть вираз: 1) (x-1)2 - (x + 3)(x-3); 2) (ба - 7)2 - (4a-3)2. 4. (2 б.) Розкладіть многочлен x² - 5x3 - 5x + 1 на множники і знайдіть його значення, якщо х = 0,4. помогите пожалуйста ​

Приложения:

Ответы

Ответ дал: tk91707
1

Ответ:

1)

   (x-1)^2-(x^2-9)\\x^2-2x+1-x^2+9\\-2x+1+9\\=-2x+10

2)

   (6a-7)^2-(4a-3)^2\\36a^2-84a+49-(16a^2-24a+9)\\36a^2-84a+49-16a^2+24a-9\\20a^2-60a+49-9\\=20a^2-60a+40

4) розкладення на множники:

        (x-(-\frac{\sqrt{557} }{10}+2.5))(x-(\frac{\sqrt{557} }{10}+2.5))

  надіюсь все вірно))

  значення:

         x^2-0.32-5x+1\\x^2+0.68-5x\\=x^2-5x+0.68  

 


tk91707: я познее закончу)
Вас заинтересует