Ответы
Ответ дал:
2
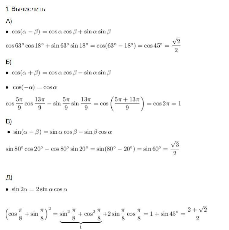
1. Вычислить
A)
Б)
В)
Г)
Д)
2. Найти
A) , если sin α = -0,8 и 3π/2 < α < 2π ( IV четверть)
π/4 = 45°
Т.к в IV четверти косинус положителен , то
Теперь распишем
Б) sin2α , если и π/2 < α < π
Опечатка ! синус положителен во II четверти ! поэтому
А косинус отрицателен во II четверти
И, наконец , находим sin2α
Приложения:


Вас заинтересует
1 год назад
1 год назад
3 года назад
3 года назад