• Предмет: Алгебра
  • Автор: sxuthflare1
  • Вопрос задан 2 года назад

80 баллов, пожалуйста помогите ​

Приложения:

Ответы

Ответ дал: dobra888
0

Відповідь:

Пояснення:

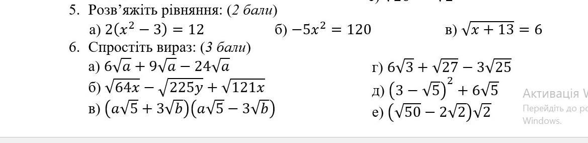
5 .  а) 2( x² - 3 ) = 12 ;           б) - 5x² = 120 ;            в)  √( х + 13 ) = 6 ;

          х² - 3 = 12 : 2 ;               х² = 120 : (- 5 ) ;               х + 13 = 6² ;

          x² - 3 = 6 ;                     x² = - 24 < 0 ;                   x + 13 = 36 ;

          x² = 6 + 3 ;                     xЄ ∅ ;                             x = 36 - 13 ;

          x² = 9 ;                                                                   x = 23 .

          x = ± 3 ;

6 .  a)  . . . = - 9√a ;                           г)  . . . = 6√3 + 3√3 - 3*5 = 9√3 - 15  

     б)  . . . = 8√x - 15√y + 11√x =     д)  . . . = 9 - 6√5 + 5 + 6√5 = 14 ;

   = 19√x - 15√y ;                             е)  . . . = √50 * √2 - 2*( √2 )² = √100 -

     в)  . . . = ( a√5 )² - ( 3√b )² =                  - 2*2 = 10 - 4 = 6 .

   = 5a² - 9b ;  

.  

Вас заинтересует