• Предмет: Алгебра
  • Автор: oleksandrpalamarcuk4
  • Вопрос задан 2 года назад

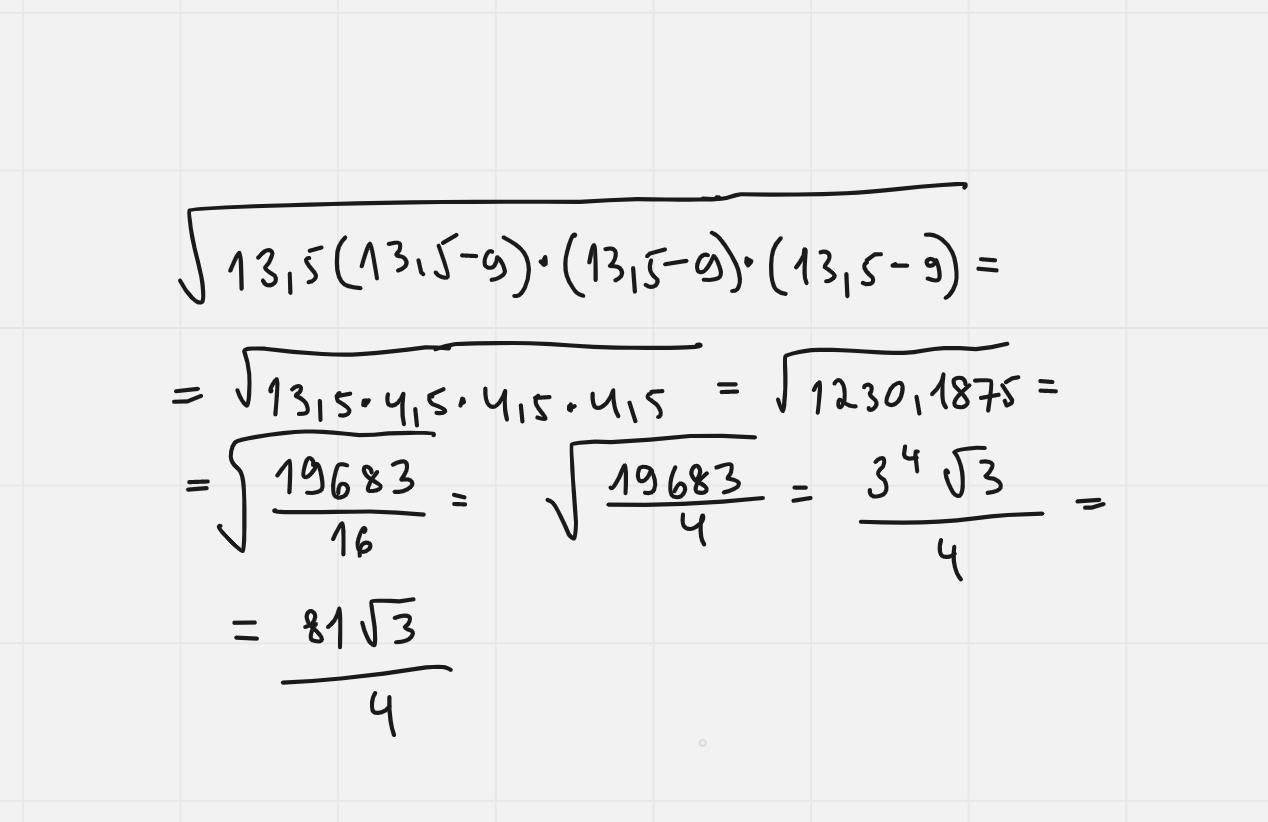
Помогите я слаб в корнях :(

Приложения:

Ответы

Ответ дал: broomspun1
0

Ответ:

дай лучший ответ (коронку)

Объяснение:

Приложения:
Вас заинтересует