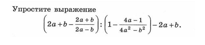
• Предмет: Алгебра
  • Автор: uriruroro
  • Вопрос задан 2 года назад

ПЖ СРОЧНО ‼️❗️‼️❗️
СДЕЛАЮ ЛУЧШИЙ ОТВЕТ
МНЕ КОНЕЦ ЕСЛИ НЕ ПОМОЖЕТЕ

Приложения:

artursolkh: ок

Ответы

Ответ дал: calmfin
0

Ответ:

А+В=2ав-2а+а

Объяснение:

вроде так я не пон


uriruroro: если не знаешь не делай(
uriruroro: я не буду нечего делать
Вас заинтересует