• Предмет: Математика
  • Автор: Karpenkol
  • Вопрос задан 2 года назад

Помогите срочно с уравнениями!!! Даю по 50 балов!
Самое главное - неспешите, желательно зделайте правильно
отвечайте только нормально
Если будет ответ не в тему буду банить!
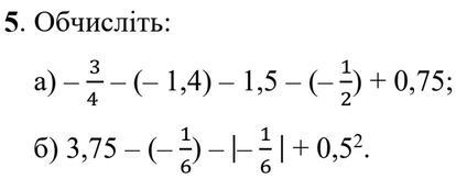
Файл прикреплён

Приложения:

Ответы

Ответ дал: iramazurk
0

Пошаговое объяснение:

а)

-3/4 - (-1,4) - 1,5 - (-1/2) + 0,75 =

-3/4 + 1,4 - 1,5 + 1/2 + 0,75 =

-0,75 + 1,4 - 1,5 + 0,5 + 0,75 =

(-0,75 + 0,75) + (-1,5 + 0,5) + 1,4 =

0 + (-1) + 1,4 = -1 + 1,4 = 0,4

б)

3,75 - (-1/6) - |-1/6| + 0,5² =

3,75 + 1/6 - 1/6 + 0,25 =

(3,75 + 0,25) + (1/6 - 1/6) = 4 + 0 = 4


Аноним: помогите пожалуйста с алгеброй(
Вас заинтересует