• Предмет: Математика
  • Автор: zenechkabrawlstars
  • Вопрос задан 2 года назад

6 цілих 4\5 : (5 цілих 2\3)
срочноо помогите


zenechkabrawlstars: там -5 цілих 2\3!!!!

Ответы

Ответ дал: parus77
0

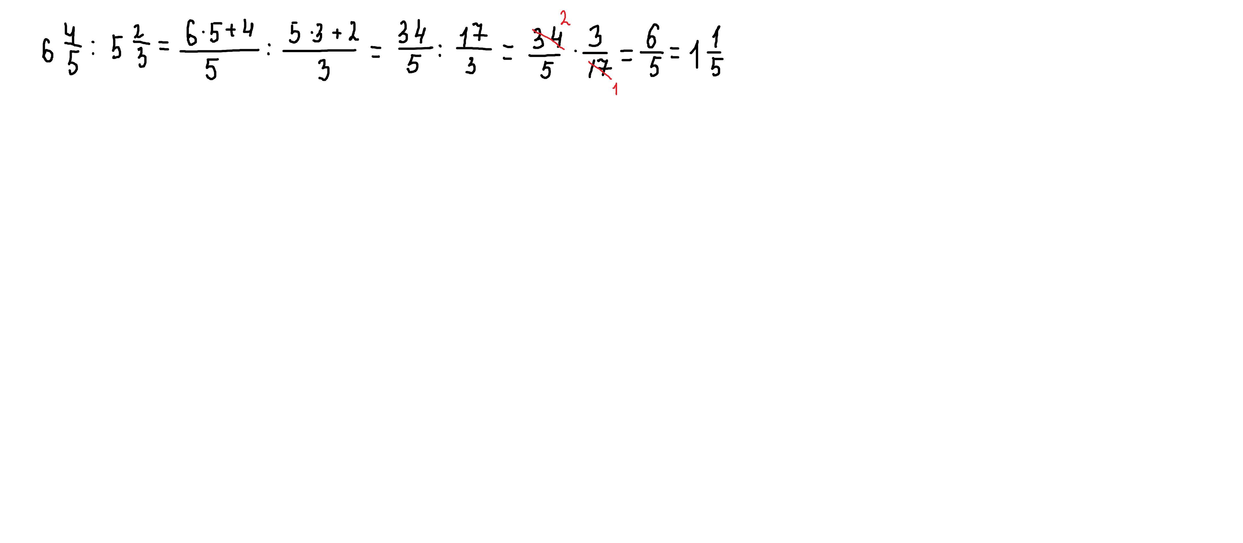
Ответ:

1 1/5

Пошаговое объяснение:

решение внизу

Приложения:
Вас заинтересует