• Предмет: Алгебра
  • Автор: Аноним
  • Вопрос задан 2 года назад

добуток многочлен 8y³-125​

Ответы

Ответ дал: Flurbis
0

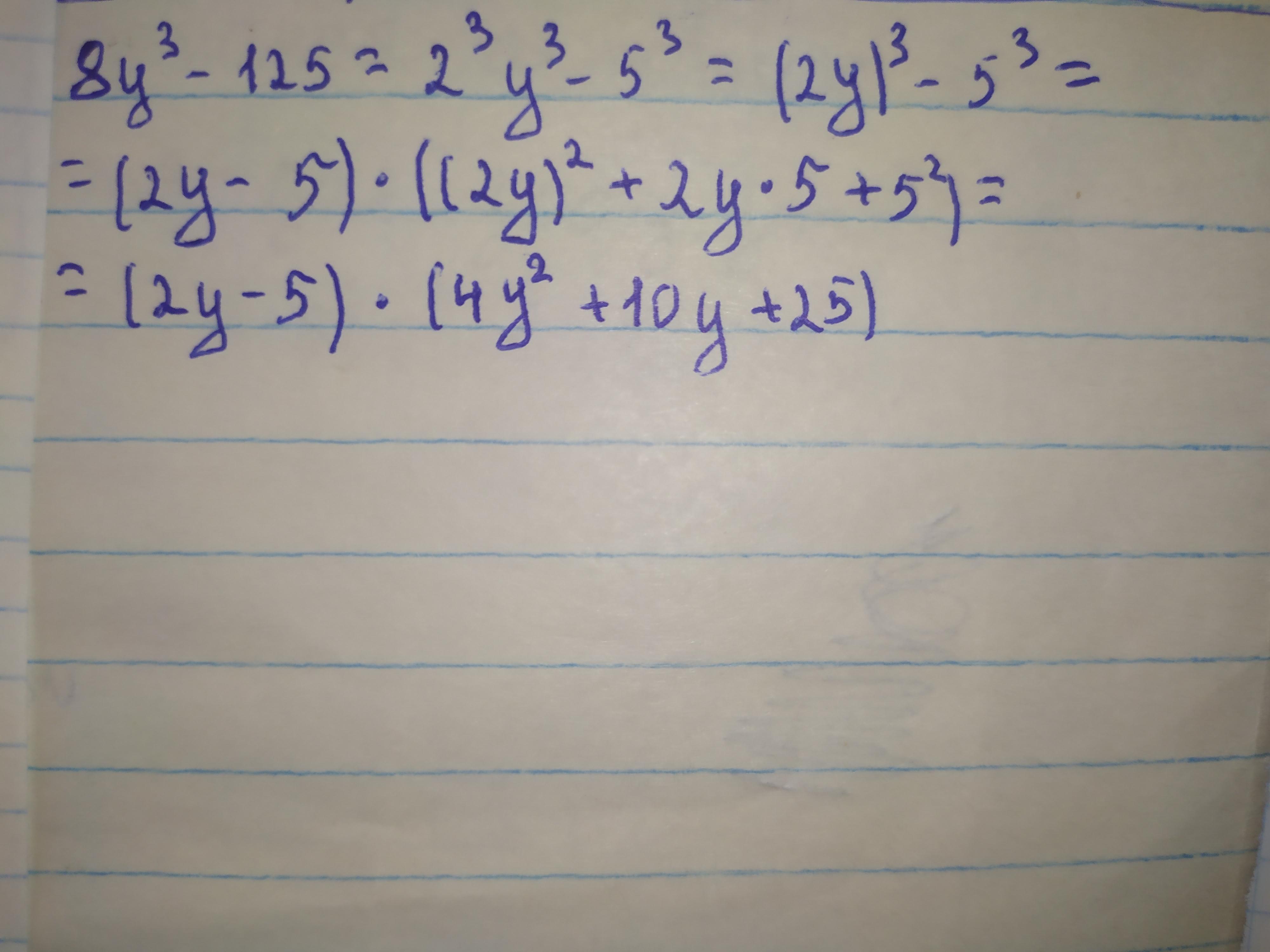
Відповідь: (2y-5)*(4y^2+10y+25)

Пояснення:

8y³-125​

2^3y^3-5^3\\(2y)^3-5^3\\(2y-5)*((2y)^2+2y*5*5^2)\\(2y-5)*(4y^2+10y+25)\\

Ответ дал: sever0000
0

Ответ:

+-_₽###₽₽₽)(

Объяснение:

Приложения:
Вас заинтересует