• Предмет: Алгебра
  • Автор: kkiew
  • Вопрос задан 2 года назад

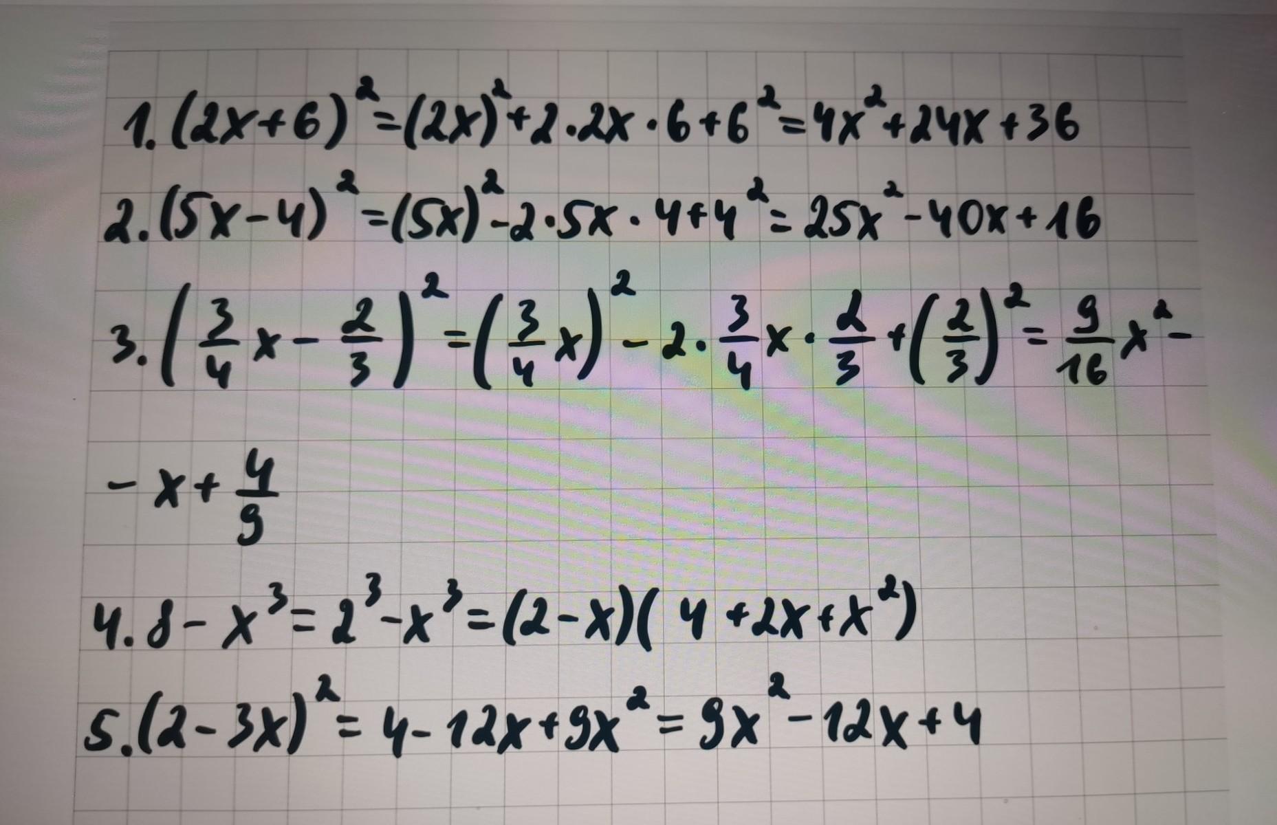
Разложить на множители
1. (2х + 6)²
2.(5х - 4)²
3. ( 3/4х - 2/3)²
4 ) 8 - х³
5. (2-3х)²

Ответы

Ответ дал: mqqrds
0

Ответ:

Если что-то непонятно, напиши в комментах :)

Объяснение:

Можно лучший ответ, если не трудно, пожалуйста?)

Приложения:
Вас заинтересует