• Предмет: Алгебра
  • Автор: mialatvenko8
  • Вопрос задан 2 года назад

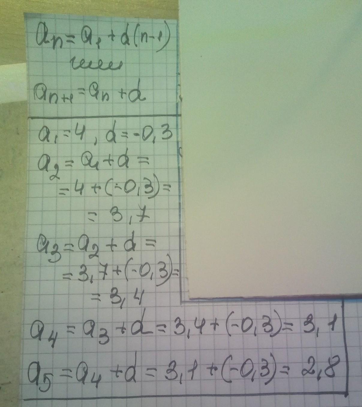
Запишите четыре первых члена арифметической прогрессии (an), если a1=4, d=−0,3.

Ответы

Ответ дал: babcovm
1

Ответ:

Объяснение:

Арифметическая прогрессия (AP) представляет собой последовательность чисел, в которой каждый член получается путем добавления фиксированного числа, называемого общей разностью (d), к предыдущему члену.

В этом случае первый член (a1) равен 4, а общая разность (d) равна -0,3.

Чтобы найти первые четыре члена арифметической прогрессии (an), мы можем использовать следующую формулу:

ан = а1 + (n - 1) d

где n — номер термина, который мы хотим найти.

Используя эту формулу, мы можем вычислить первые четыре члена последовательности следующим образом:

а1 = 4

а2 = а1 + d = 4 - 0,3 = 3,7

а3 = а2 + d = 3,7 - 0,3 = 3,4

а4 = а3 + d = 3,4 - 0,3 = 3,1

Следовательно, первые четыре члена арифметической прогрессии с a1=4 и d=-0,3 равны 4, 3,7, 3,4 и 3,1.

Ответ дал: manyny06
1

Ответ:

решение смотри на фотографии

Приложения:
Вас заинтересует