Ребяяяят!!!! Помогите пожалуйста!!!!!я знаю ответ в этой задаче-,,4Н,, , но нужно решение.
Біля поверхні Землі (на відстані R від її центра) на тіло
всесвітнього тяжіння 36 Н. Визначте силу тяжіння, яка діє на це тіло на
і сила
відстані 2R від поверхні землі.
А 9 Н
Б 12 Н
В 18 Н
Г 36 Н Д 4 Н
Ответы
Ответ дал:
1
Ответ:
вот решение
Объяснение:
решение ниже
Приложения:

Ответ дал:
1
Ответ: 4Н
Объяснение:
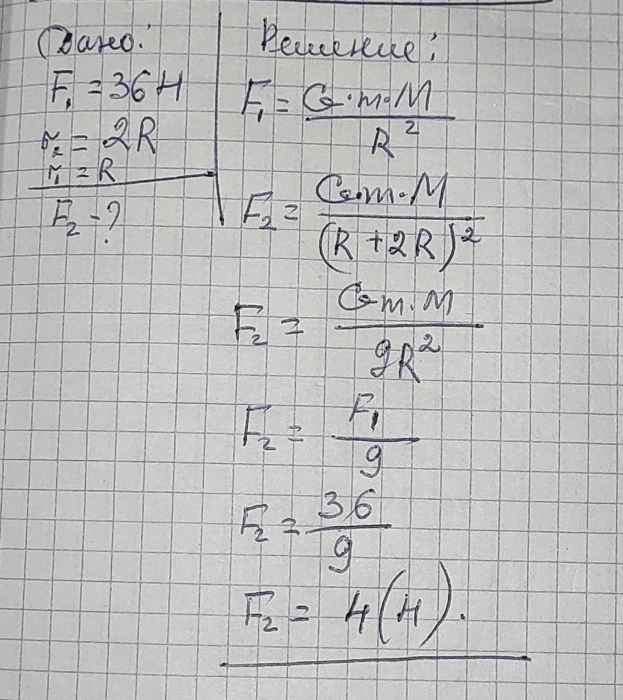
Дано:
Р1=36Н
R1=Rз
h=2Rз
--------------
Р2-?
Вес тела находим по формуле:
Р=mg, где:
m-масса тела;
g-ускорение свободного падения на поверхности Земли равно:
g1=G*Mз/Rз²
Ускорение свободного падения на высоте 2Rз равно:
g2=G*Mз*(Rз+h)²=G*Mз/(Rз+2Rз)²=G*Mз/9Rз²
Разделим g1 на g2 и получим:
g1/g2=G*Mз/Rз²/(G*Mз/9Rз²)=9
Значит ускорение свободного падинея на высоте 2Rз в девять раз меньше, чем над поверхностью Земли, значит вес тела на высоте 2Rз в 9 раз меньше, чем над поверхностью
Р2=Р1/9=36/9=4Н
bobuhelizaveta:
Спасибо❤️❤️❤️❤️❤️
Вас заинтересует
1 год назад
3 года назад
8 лет назад