• Предмет: Математика
  • Автор: martaivanitskaya
  • Вопрос задан 2 года назад

допоможіть, мені треба це на завтра

Приложения:

artemgerman328: ну открой ты чат GPT и сделай в чём проблема? Я за такую легкотню даже браться не буду

Ответы

Ответ дал: svetxxx
0

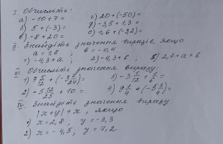
1 завадння:

а) -3

б) 2

в) 12

г) -30

д) -2 цілі 1/5

е) -1 ціла 3/5

2 завдання:

1) -2 цілі 1/2

2) -4 цілі 7/10

3) 4 цілі 1/10

3 завдання:

1) 4 цілі 1/8

2) 4 цілі 13/25

3) 2 цілі 11/12

4) 3 цілі 1/2

4 завдання:

1) 3,3

2) 16,2

Вас заинтересует