• Предмет: Алгебра
  • Автор: alianna15
  • Вопрос задан 2 года назад

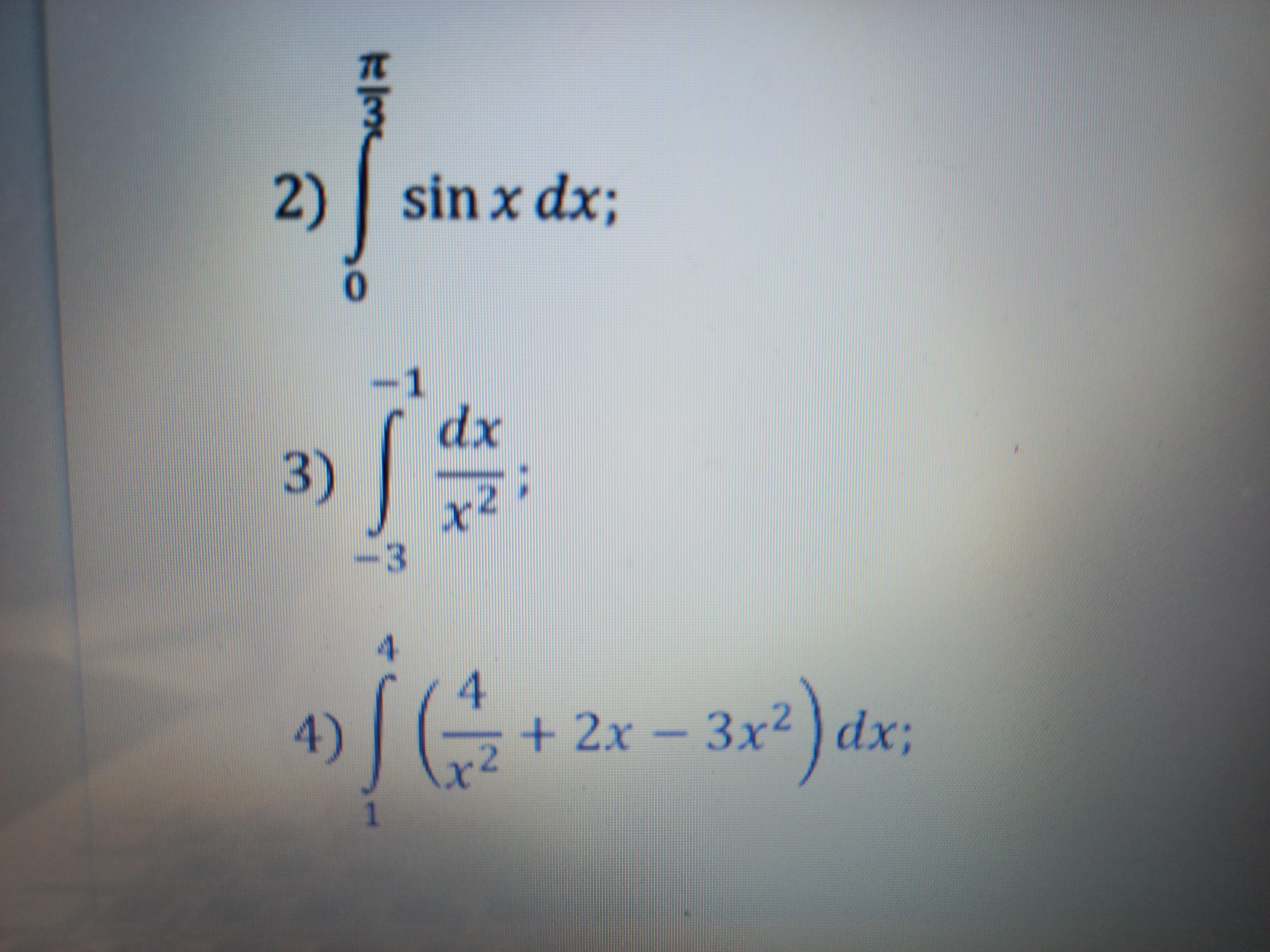
Очислити ігтеграл.
Потрібний 3 приклад

Приложения:

Ответы

Ответ дал: natalyabryukhova
0

Ответ:

2)   \displaystyle \bf     \int\limits^{\frac{\pi }{3} }_0 {sinx} \, dx =\frac{1}{2}

3)   \displaystyle \bf     \int\limits^{-1}_{-3} \frac{dx}{x^2} =\frac{2}{3}

4)   \displaystyle \bf     \int\limits^4_1 {\left(\frac{4}{x^2}+2x-3x^2\right) } \, dx =  -45

Объяснение:

Вычислить интеграл.

Формулы:

\boxed {\displaystyle \bf     \int\limit {sinx} \, dx= -cosx+C}          \boxed {\displaystyle \bf     \int\limit {x^n} \, dx= \frac{x^{n+1}}{n+1} +C}

Формула Ньютона-Лейбница:

\boxed {\displaystyle \bf     \int\limits^b_a {f(x)} \, dx =F(b)-F(a)}

2)

\displaystyle \bf     \int\limits^{\frac{\pi }{3} }_0 {sinx} \, dx =-cosx\big|^{\frac{\pi }{3} }_0=-cos\frac{\pi }{3}+cos0=-\frac{1}{2}+1=\frac{1}{2}

3)

\displaystyle \bf     \int\limits^{-1}_{-3} \frac{dx}{x^2} =\int\limits^{-1}_{-3} x^{-2}dx=\frac{x^{-2+1}}{-2+1}\bigg|^{-1}_{-3} =-\frac{1}{x}\bigg|^{-1}_{-3}=\\ \\=-\frac{1}{-1}+\frac{1}{-3}=1-\frac{1}{3}=\frac{2}{3}

4)

\displaystyle \bf     \int\limits^4_1 {\left(\frac{4}{x^2}+2x-3x^2\right) } \, dx =  \int\limits^4_1 {\left(4x^{-2}+2x-3x^2\right) } \, dx=\\\\=\left(4\cdot \frac{x^{-1}}{-1} +2\cdot \frac{x^2}{2}-3\cdot \frac{x^3}{3}\right)\bigg|^4_1= \left(-\frac{4}{x}+x^2-x^3\right)\bigg|^4_1= \\\\=-\frac{4}{4}+16-64+\frac{4}{1}-1+1=-45

Вас заинтересует