• Предмет: Алгебра
  • Автор: 3d156
  • Вопрос задан 2 года назад

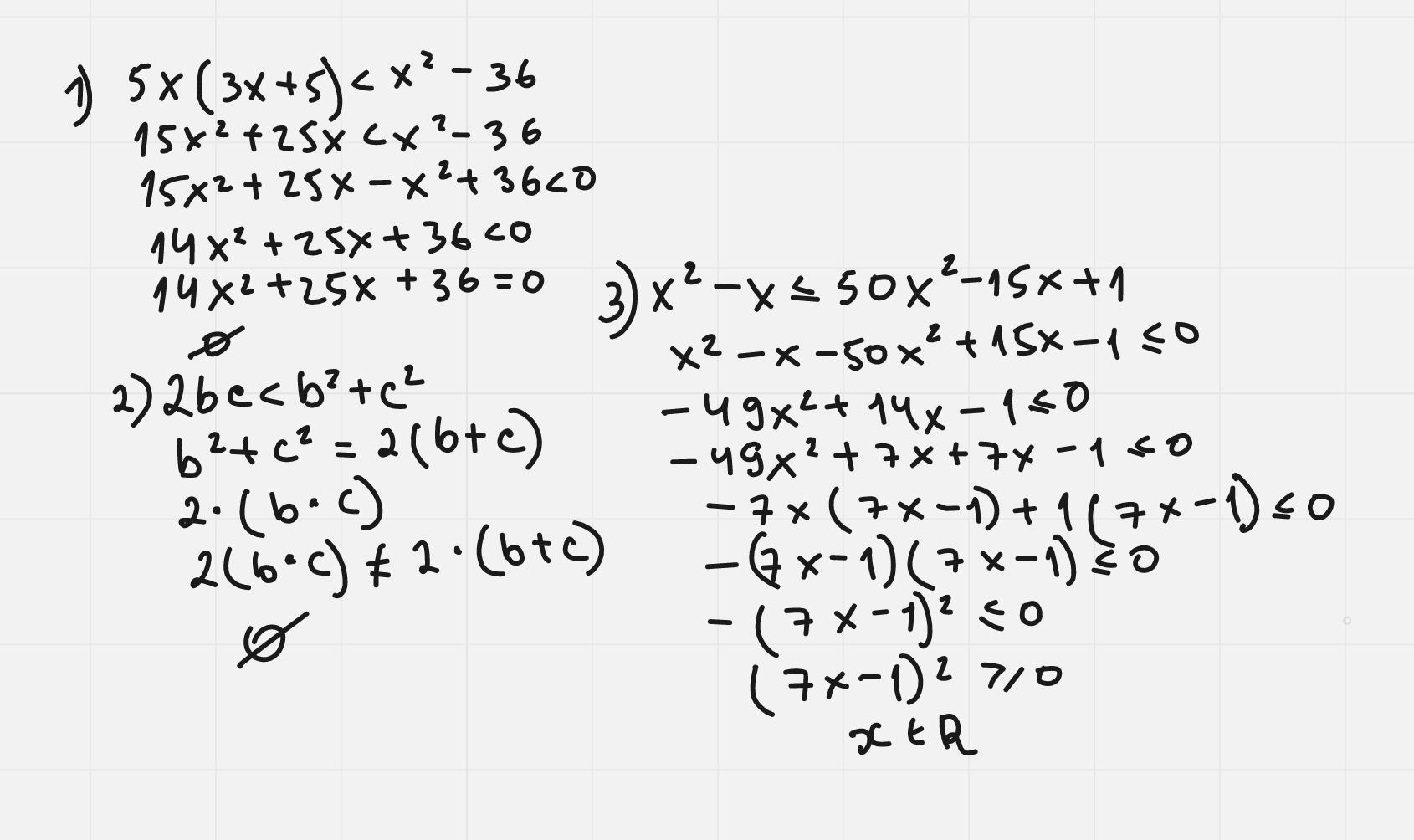
Докажите неравенство:

1) 5x (3x+5) < x² - 36

2) 2bc <b² + c²

3) \: \:x^{2} - x \: \leqslant 50x^{2} - 15x + 1

Приложения:

Ответы

Ответ дал: broomspun1
1

Ответ:

дай лучший ответ пж

Объяснение:

Приложения:

3d156: я почему то не могу отменить его лучшим
3d156: буквально нету кнопки. Спасибо тебе
broomspun1: там само высветиться сверху на ответом "отметить этот ответ как лучший", вот ты просто нажми на него и он отметиться ;)
Только учти что поменять потом нельзя будет.
Вас заинтересует