• Предмет: Математика
  • Автор: saman110
  • Вопрос задан 2 года назад

Найти неопределенный интеграл

Приложения:

Ответы

Ответ дал: Alnadya
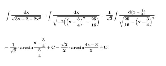
1

Решение .

  Метод подведение под знак дифференциала . Сначала в знаменателе под корнем выделяем полный квадрат .

\bf \displaystyle \int \dfrac{dx}{\sqrt{3x+2-2x^2}}=\int \frac{dx}{\sqrt{-2\Big(\Big(x-\dfrac{3}{4}\Big)^2-\dfrac{25}{16}}\Big)}=\frac{1}{\sqrt2}\int \frac{d(x-\frac{3}{4})}{\sqrt{\dfrac{25}{16}-\Big(x-\dfrac{3}{4}}\Big)^2}=\\\\\\=\frac{1}{\sqrt2}\cdot arcsin\frac{x-\dfrac{3}{4}}{\dfrac{5}{4}}+C=\frac{\sqrt2}{2}\cdot arcsin\frac{4x-3}{5}+C    

Приложения:
Вас заинтересует