• Предмет: Математика
  • Автор: raya01shka
  • Вопрос задан 2 года назад

Рассчитать
Срочно дам 35 балов

Приложения:

Ответы

Ответ дал: iramazurk
0

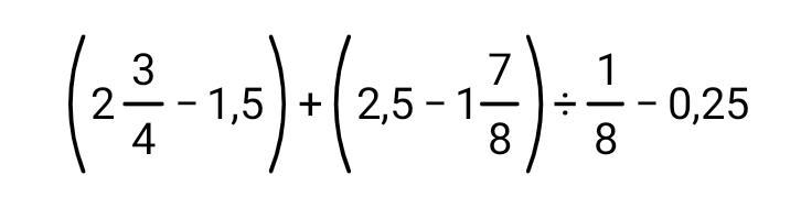
Ответ:

6

Пошаговое объяснение:

1) 2 3/4 - 1,5 = 2 3/4 - 1 1/2 = 2 3/4 - 1 2/4 = 1 1/4

2) 2,5 - 1 7/8 = 2 1/2 - 1 7/8 = 2 4/8 - 1 7/8 = 1 12/8 - 1 7/8 = 5/8

3) 5/8 : 1/8 = 5/8 * 8/1 = 40/8 = 5

4) 1 1/4 + 5 = 6 1/4

5) 6 1/4 - 0,25 = 6 1/4 - 1/4 = 6

Вас заинтересует