• Предмет: Математика
  • Автор: sofinkrav14
  • Вопрос задан 2 года назад

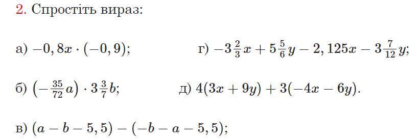
даю 80 балов срочно решить

Приложения:

sofinkrav14: пожалуйста с обяснением как решили тоесть расписать и срочноооооооо!

Ответы

Ответ дал: manyny06
1

Ответ:

решение смотри на фотографии

Приложения:

sofinkrav14: очень благодарна за решение большое спасибо!!!
Вас заинтересует