• Предмет: Алгебра
  • Автор: Аноним
  • Вопрос задан 2 года назад

найдите производную пожалуйста дам 70 баллов ​

Приложения:

Ответы

Ответ дал: broomspun1
0

Ответ:

дай лучший ответ пж

Объяснение:

Приложения:
Ответ дал: dobra888
0

Відповідь:

Пояснення:

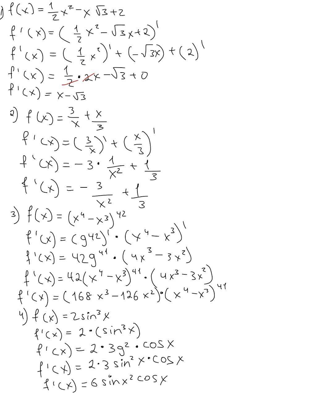
  1.   1 ) f '( x ) = ( 1/2 x² - x√3 + 2 )' = 1/2 * 2 *x - 1 *√3 + 0 = x - √3 ;

    2) f '( x ) = (3/x + x/3 )' = 3* x⁻² + 1/3 * 1 = - 3/x² + 1/3 .

        f '( 2 ) = - 3/2² + 1/3 = - 3/4 + 1/3 = - 5/12 .

 2.  1 )   f '( x ) = [( x⁴ - x³)⁴²]' = 42( x⁴ - x³ )⁴¹ * ( x⁴ - x³ )' =

   = 42( x⁴ - x³ )⁴¹ *( 4x³ - 3x² ) ;

     2 )  f '( x ) = ( 2sin³x )' = 2 * 3 * sin²x * ( sinx )' = 6sin²xcosx .

Вас заинтересует