• Предмет: Алгебра
  • Автор: dybskayakatya
  • Вопрос задан 2 года назад

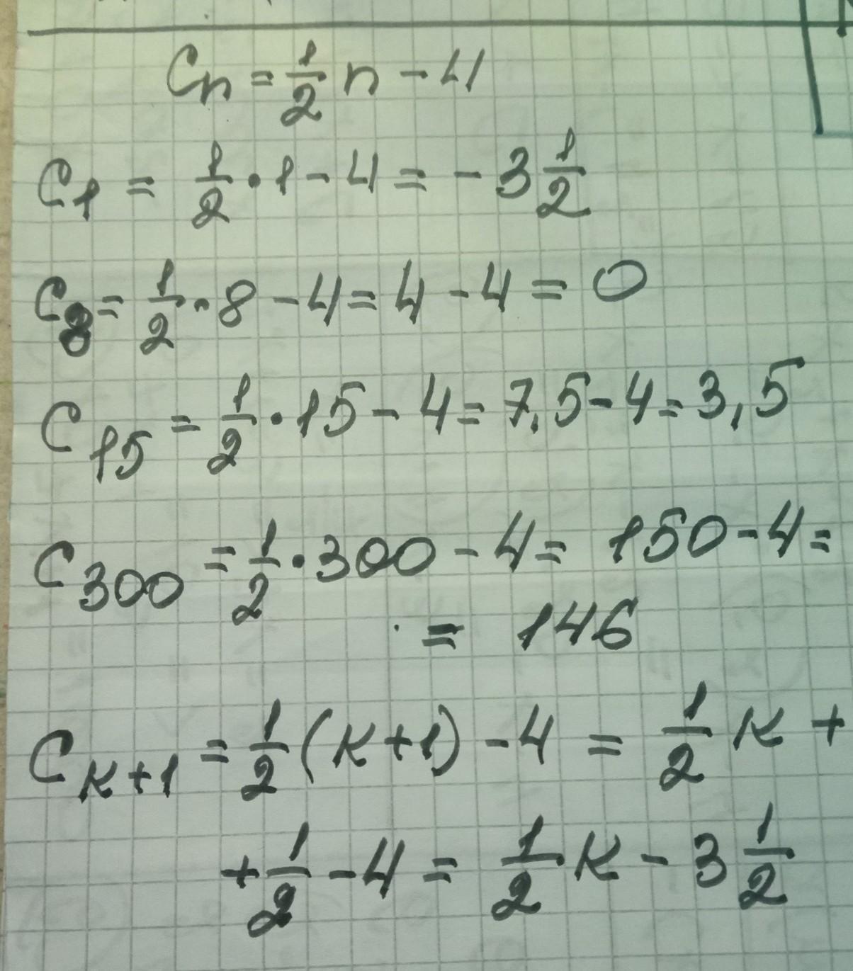
94. Послідовність (сn) задана формулою n-го члена cn= 1/2n - 4
знайдіть:
1) c1
2) c8
3) c15
4) c300
5) ck + 1 ​

Ответы

Ответ дал: manyny06
1

Ответ:

решение смотри на фотографии

Приложения:
Вас заинтересует