• Предмет: Математика
  • Автор: tevyak1
  • Вопрос задан 2 года назад

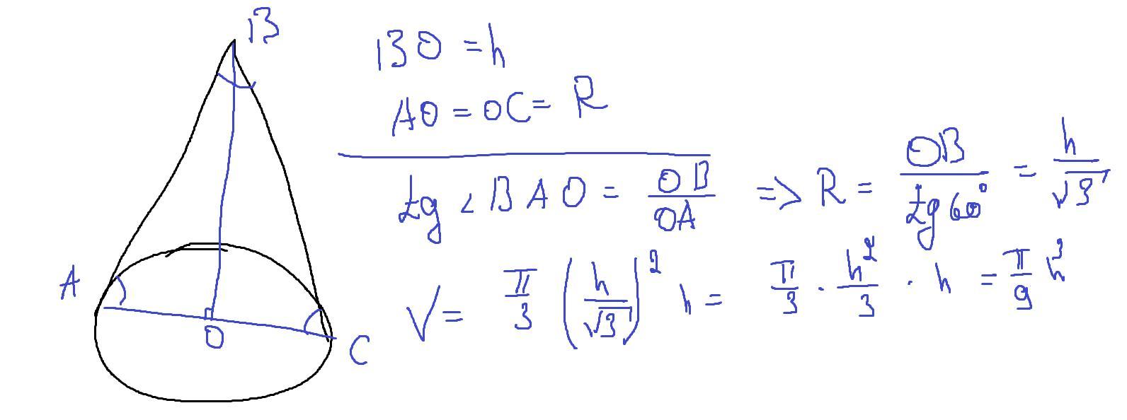
Найдите объем конуса если его высота равна h, а осевым сечением является равносторонний треугольник. Ответ должен получится вроде такой 1/9πh³см³.

Ответы

Ответ дал: polarkat
0

Объём можно найти по формуле V=\frac{\pi R^2h}{3}. По условию нам дана высота и так как сечением является равносторонний треугольник, то все углы в треугольнике равны по 60 градусам

Продолжение на фото

Приложения:
Вас заинтересует